문제
https://leetcode.com/problems/reorder-list/
Reorder List - LeetCode
Level up your coding skills and quickly land a job. This is the best place to expand your knowledge and get prepared for your next interview.
leetcode.com
You are given the head of a singly linked-list. The list can be represented as:
L0 → L1 → … → Ln - 1 → Ln
Reorder the list to be on the following form:
L0 → Ln → L1 → Ln - 1 → L2 → Ln - 2 → …
You may not modify the values in the list's nodes. Only nodes themselves may be changed.
단일 연결 목록의 선두가 부여됩니다. 목록은 다음과 같이 나타낼 수 있다.
L0 → L1 → … → Ln - 1 → Ln
다음 양식에 맞게 목록 순서를 변경합니다.
L0 → Ln → L1 → Ln - 1 → L2 → Ln - 2 → …
목록의 노드에서 값을 수정할 수 없습니다. 노드 자체만 변경할 수 있습니다.
예시
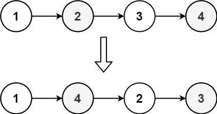
Example 1:

Input: head = [1,2,3,4]
Output: [1,4,2,3]
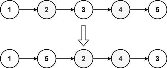
Example 2:

Input: head = [1,2,3,4,5]
Output: [1,5,2,4,3]
제약 조건
Constraints:
- The number of nodes in the list is in the range [1, 5 * 104].
- 1 <= Node.val <= 1000
해결 코드
/**
* Definition for singly-linked list.
* function ListNode(val, next) {
* this.val = (val===undefined ? 0 : val)
* this.next = (next===undefined ? null : next)
* }
*/
/**
* @param {ListNode} head
* @return {void} Do not return anything, modify head in-place instead.
*/
var reorderList = function(head) {
if (!head || !head.next) return;
// 중간 point 찾기
let slow = head, fast = head;
while(fast.next && fast.next.next) {
slow = slow.next;
fast = fast.next.next;
}
// head와 part2로 나누기
let part2 = slow.next;
slow.next = null;
// reverse part 2
let prev = null, cur = part2, next = cur.next;
while(cur) {
next = cur.next;
cur.next = prev;
prev = cur;
cur = next;
}
part2 = prev;
// head와 part2 합치기
while(head && part2) {
let p1 = head.next;
let p2 = part2.next
head.next = part2;
head.next.next = p1;
part2 = p2;
head = p1;
}
return head;
};'leetCode' 카테고리의 다른 글
| [Medium] 2. Add Two Numbers (0) | 2022.07.19 |
|---|---|
| [Medium] 138. Copy List with Random Pointer (0) | 2022.07.19 |
| [Medium] 304. Range Sum Query 2D - Immutable (0) | 2022.07.15 |
| [Medium] 910. Smallest Range II (0) | 2022.07.15 |
| [Medium] 713. Subarray Product Less Than K (0) | 2022.07.07 |
Comment