https://leetcode.com/problems/merge-two-binary-trees/
Merge Two Binary Trees - LeetCode
Level up your coding skills and quickly land a job. This is the best place to expand your knowledge and get prepared for your next interview.
leetcode.com
문제
: You are given two binary trees root1 and root2.
Imagine that when you put one of them to cover the other, some nodes of the two trees are overlapped while the others are not. You need to merge the two trees into a new binary tree. The merge rule is that if two nodes overlap, then sum node values up as the new value of the merged node. Otherwise, the NOT null node will be used as the node of the new tree.
Return the merged tree.
Note: The merging process must start from the root nodes of both trees.
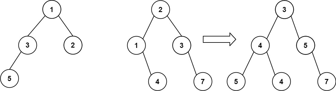
Example
1:

Input: root1 = [1,3,2,5], root2 = [2,1,3,null,4,null,7]
Output: [3,4,5,5,4,null,7]
2:
Input: root1 = [1], root2 = [1,2]
Output: [2,2]
Constraints:
- The number of nodes in both trees is in the range [0, 2000].
- -104 <= Node.val <= 104
해결 과정
- root1와 root2 둘 중 하나가 null 이면 return null
- root 변수에 새로운 TreeNode를 만들고 root1.val과 root2.val 값 넣음. 값이 없다면 0 넣음
- root.left에는 root1.left, root2.left 값을 넣고 mergeTrees() 재귀 호출
- root.right에는 root.right, root.right 값을 넣고 mergeTrees() 재귀 호출
- 완성된 root 반환
해결 코드
/**
* Definition for a binary tree node.
* function TreeNode(val, left, right) {
* this.val = (val===undefined ? 0 : val)
* this.left = (left===undefined ? null : left)
* this.right = (right===undefined ? null : right)
* }
*/
/**
* @param {TreeNode} root1
* @param {TreeNode} root2
* @return {TreeNode}
*/
let mergeTrees = function(root1, root2) {
if (!root1 && !root2) return null;
let root = new TreeNode((root1 ? root1.val : 0) + (root2 ? root2.val : 0));
root.left = mergeTrees(root1 ? root1.left : null, root2 ? root2.left : null);
root.right = mergeTrees(root1 ? root1.right : null, root2 ? root2.right : null);
return root;
};
참고 사이트
GitHub - BaffinLee/leetcode-javascript: LeetCode javascript solutions
LeetCode javascript solutions. Contribute to BaffinLee/leetcode-javascript development by creating an account on GitHub.
github.com
'leetCode' 카테고리의 다른 글
| [Medium] 77. Combinations (0) | 2022.05.19 |
|---|---|
| [Easy] 21. Merge Two Sorted Lists (0) | 2022.05.18 |
| [Easy] 206. Reverse Linked List (2) | 2022.05.18 |
| [Medium] 542. 01 Matrix (0) | 2022.05.17 |
| [Medium] 116. Populating Next Right Pointers in Each Node (2) | 2022.05.16 |
Comment