문제
Given a binary tree, determine if it is height-balanced.
For this problem, a height-balanced binary tree is defined as
: a binary tree in which the left and right subtrees of every node differ in height by no more than 1.
이진 트리가 주어지면 높이 균형이 맞는지 확인합니다.
이 문제에서 높이 균형 이진 트리는 다음과 같이 정의됩니다.
: 모든 노드 의 왼쪽 및 오른쪽 하위 트리의 높이가 1 이하로 다른 이진 트리.
예시
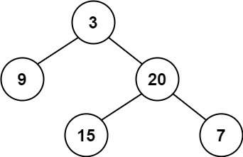
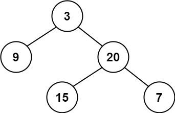
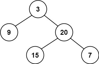
Example 1:

Input: root = [3,9,20,null,null,15,7]
Output: true
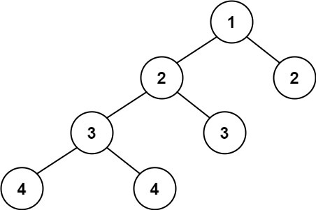
Example 2:

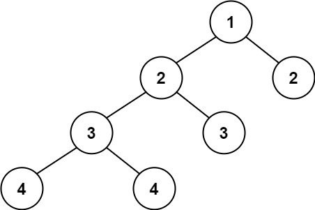
Input: root = [1,2,2,3,3,null,null,4,4]
Output: false
Example 3:
Input: root = []
Output: true
제약 조건
Constraints:
- The number of nodes in the tree is in the range [0, 5000].
- -104 <= Node.val <= 104
해결 과정
- getHeight라는 함수를 이용하여 dfs 방법을 사용한다.
- node가 undefined거나 null이 들어오면 0을 반환한다.
- left와 right 각각 getHeight 함수를 재귀 호출한다. 이때 1을 각가 더해 level을 하나씩 증가시킨다.
- 만약 left와 right의 차이가 1보다 크다면 Infinity를 반환한다.
- 1보다 크지 않다면 left와 right 값 중 더 큰 값을 반환한다.
- getHeight의 반환값을 answer 변수로 받는다.
- answer가 Infinity라면 false를, 아니라면 true를 반환한다.
해결 코드
/**
* Definition for a binary tree node.
* function TreeNode(val, left, right) {
* this.val = (val===undefined ? 0 : val)
* this.left = (left===undefined ? null : left)
* this.right = (right===undefined ? null : right)
* }
*/
/**
* @param {TreeNode} root
* @return {boolean}
*/
var isBalanced = function(root) {
const getHeight = (node) => {
if(!node) return 0;
let left = getHeight(node.left) + 1;
let right = getHeight(node.right) + 1;
if(Math.abs(left - right) > 1) return Infinity;
return Math.max(left, right)
}
let answer = getHeight(root)
return answer !== Infinity ? true : false
};'leetCode' 카테고리의 다른 글
| [Easy] 150. Evaluate Reverse Polish Notation (3) | 2022.06.13 |
|---|---|
| [Easy] 66. Plus One (0) | 2022.06.13 |
| [Easy] 459. Repeated Substring Pattern (0) | 2022.06.13 |
| [Easy] 896. Monotonic Array (0) | 2022.06.09 |
| [Easy] 28. Implement strStr() (0) | 2022.06.09 |
Comment